Absinthii herba
- Ausdauernde, meist krautige Pflanze mit Wuchshöhen von 40 bis 60, gelegentlich bis 150 cm
- Pflanze erscheint oberirdisch gräulich-grün und duftet stark aromatisch
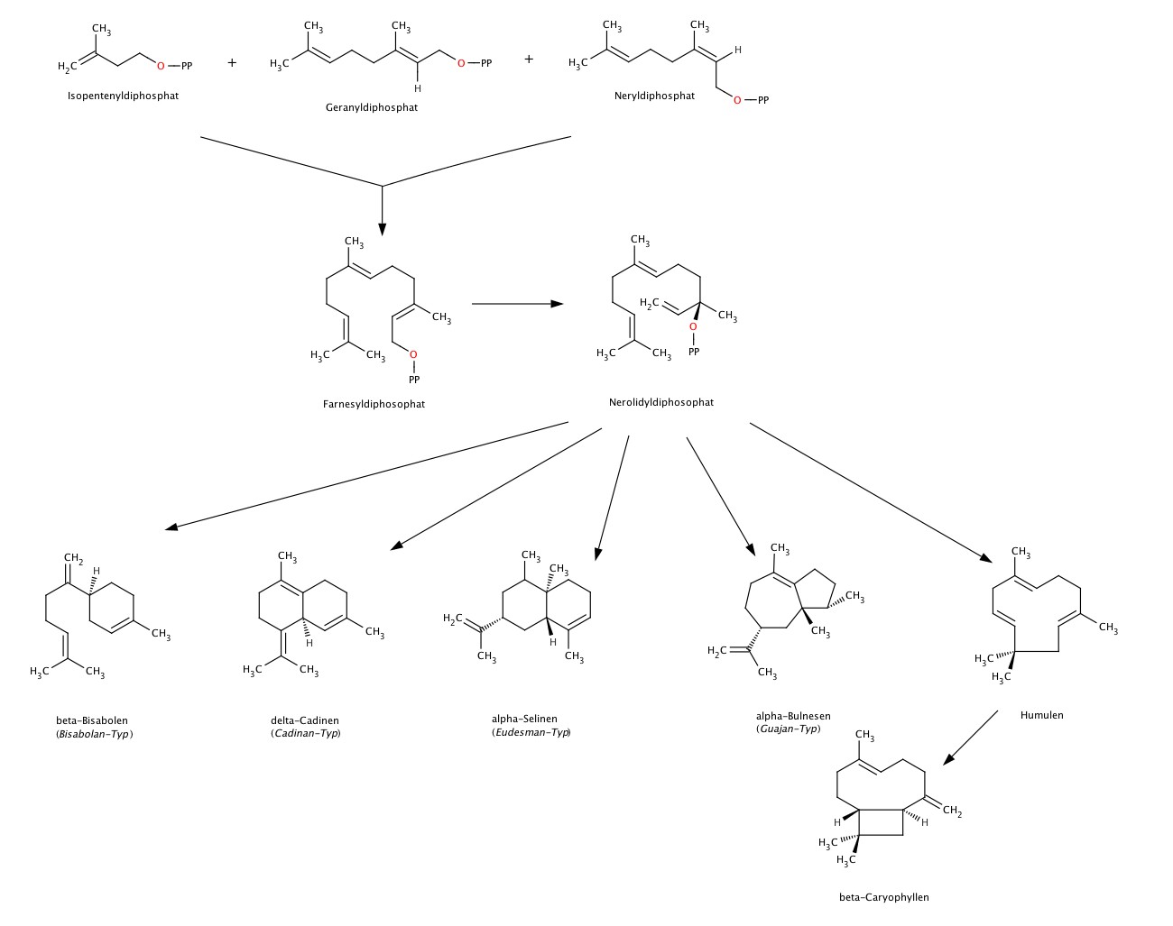
- Blätter enthalten ca. 0,3%, die Blüten etwa 0,15% Bitterstoffe; Hauptverbindungen sind die Sesquiterpenlactone Absinthin (BW: 12 700 000) und das isomere Anabsinthin (bildet sich im Sauren durch eine Ringschlussreaktion aus Absinthin)
- weiteres Sesquiterpenlacton Artabsin ist nur in der frischen Pflanze nachweisbar
- Wasserdampfdestillation liefert 0,2-1,3% dunkelgrünes bis blaues ätherisches Öl (Farbe durch Chamazulen, das bei der Destillation aus genuinem Artabsin gebildet wird
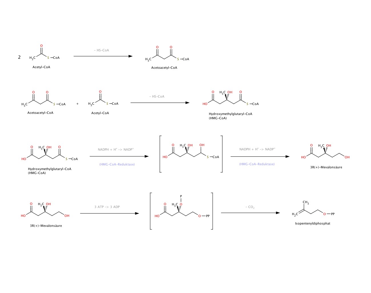
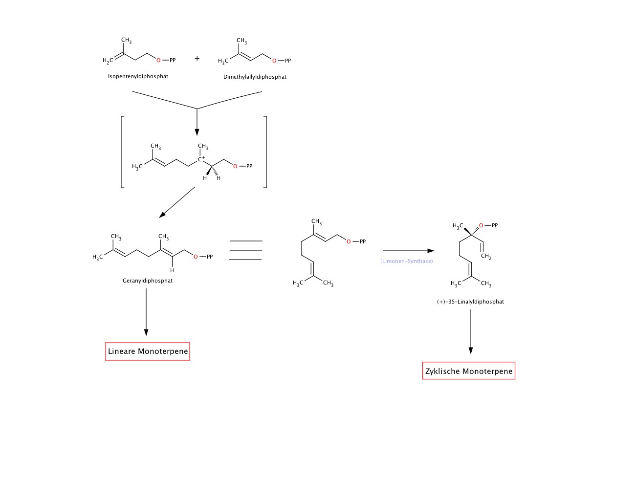
- Quantitative Hauptbestandteile des ätherischen Öls sind Thujon und Thujylalkohol (Monoterpene)
Allgemein: Getrocknete Zweige der blühenden Pflanze mit bis zu 4 mm dicken Stängelanteilen; aromatisch und zugleich bitter schmeckende Droge
Mikroskopie: Asteraceen-Drüsenschupppen, T-Haare, Pollen (wenn nicht vorhanden → Droge nicht arzneibuchkonform)
- Bitterwert Absinthin: 12,7 Mio!; Artabsin und Chamazulen sind azulogen (BW je 500.000)
- Absinth als berauschendes Getränk (vgl. Vincent Van Gogh, Charles Baudelaire) war lange Zeit verboten, heute ist der Thujon-Gehalt in (alkohol.) Getränken limitiert!
- Weitere bedeutsame Artemisia-Arten: A. annua (Einjähriger Beifuß), A. vulgaris (Gemeiner Beifuß), A. cina (Wurmsamen), A. afra (Afrikanischer Wermut) A. dracunculus (Estragon)
- Das Sprichwort "Wermutstropfen" spielt darauf an, dass etwas an sich Positivem eine Komponente von "Bitterkeit", im Sinne von Verbitterung, beigefügt ist
Mono-Präparate
- Wermutsaft (verschiedene Hersteller)
- Wermuttee (verschiedene Hersteller)
- Wermutkraut (verschiedene Hersteller)
Kombi-Präparate
- Amara-Tropfen Dilution
- Salus Leber-Galle Tropfen®
- Schwedenkräuter (verschiedene Hersteller)
- Gastritol® Liquid
- Abdomilon® N
- Pascopankreat® Tabletten
- Enzian Magentonikum Wala